齐心抗疫情 科研不停步
国家脉冲强磁场科学中心师生疫情期间取得系列研究进展
来源:国家脉冲强磁场科学中心 20200505
■ 通讯员 胡浩 程远
http://news.hust.edu.cn/info/1002/38907.htm
新冠肺炎疫情期间,国家脉冲强磁场科学中心认真贯彻落实党中央、各级政府和学校疫情防控的决策部署,在做好居家隔离、齐心协力打赢疫情防控阻击的同时,合理规划工作学习时间,积极开展科学研究,2020年前4个月取得了一系列重要研究进展,高水平科研成果比2019年同期进一步提升。

图 1

图 2
1月31日和2月3日,《先进功能材料》(Advanced Functional Materials)、《自然•电子》(Nature Electronics)先后刊发中心微纳电子器件课题组关于二维范德华异质结的研究论文。在“基于二维异质结构的可重构逻辑存储一体器件和多语人工突触”(Reconfigurable logic-in-memory and multilingual artificial synapses based on 2D heterostructures)论文中,展示了基于二维半导体黑磷和二硫化铼的二维范德华异质结构用于实现非易失性三进制逻辑运算器件(图1),其中黑磷界面处的超薄氧化物层起到了俘获电荷并实现存储信息的作用,为基于新颖的二维异质结构实现多功能非易失性存储器及逻辑应用提供了一种途径。在另一篇“基于范德华异质结的垂直隧穿场效应晶体管”(A transverse tunnelling field-effect transistor made from a van der Waals heterostructure)论文中,提出了一种由二维黑磷/氧化铝/黑磷结构制成的高效隧穿器件(图2),室温下峰谷比即可超过100,同时能够在360 K至70 K的温度范围内实现超陡亚阈值斜率,以仅为玻尔兹曼极限1/10的体因子(栅极电压相对变化与表面电势相对变化的比值)进行电流的陡峭开关。

图 3
2月25日,《纳米快报》(Nano Letters)在线刊发了中心周伟航副教授团队关于激子极化激元基础物性的研究论文“Polariton–Polariton Interactions Revealed in a One-dimensional Whispering Gallery Microcavity”。该研究利用激子极化激元的半光半物质特性以及它们的玻色-爱因斯坦凝聚效应,精确测量出了激子极化激元体系的相互作用常数(图3),不仅发现激子极化激元之间的库仑相互作用强度比理论预期大了两个数量级,还观察到了激子极化激元这种奇特粒子的弹道输运及机械能守恒现象,对于研究激子极化激元的丰富物理特性,开发它们在新一代光电器件领域的潜在应用具有重要意义。

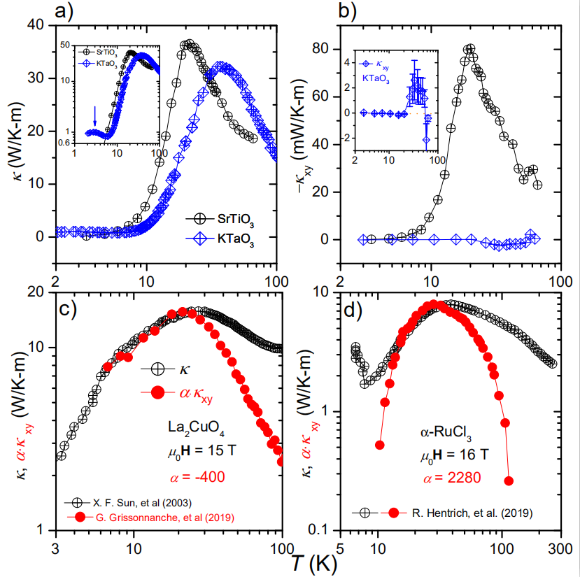
图 4
3月9日,《物理评论快报》(Physical Review Letters)在线刊发了中心16级博士生李小康(导师为朱增伟教授)关于非磁绝缘体的声子热霍尔效应的研究论文“Phonon thermal Hall effect in strontium titanate”。该研究在非磁绝缘体SrTiO3中观测到了比任何绝缘体都要大的霍尔热导。同时,通过选取SrTiO3和其类似物KTaO3开展对比实验,探讨了声子热霍尔效应的起源机制,发现SrTiO3中有非常大的热霍尔效应,而KTaO3中的霍尔热导几乎为零,证实了SrTiO3在反铁电扭曲(AFD)转变后出现的畴壁可能是散射声子发生横向偏转的原因(图4)。

图 5
4月24日,《科学·进展》(Science Advances)在线刊发了国家脉冲强磁场科学中心朱增伟教授团队关于反铁磁材料的研究论文“有限温度下反常横向魏德曼弗兰兹定律的破坏”(Finite-temperature violation of the anomalous transverse Wiedemann-Franz law)。该研究通过对非共线反铁磁材料Mn3Ge从室温到亚开尔文温度范围内的反常霍尔效应和反常热霍尔效应进行研究,验证发现反常横向魏德曼弗兰兹定律在低温下也是成立的,但是在高温段并不符合,为此提出了一种新的机制对Mn3Ge中魏德曼弗兰兹定律的偏离进行解释,并通过理论计算揭示了温度与贝里曲率分布之间的竞争关系(图5)。
近年来,国家脉冲强磁场科学中心依托脉冲强磁场国家重大科技基础设施,吸引了一批高水平青年学者的加盟,国家各级人才项目入选者占比达44%,教授占比近60%。随着科研团队的快速发展,中心原创成果不断涌现,已经成为国际强磁场领域重要的科学研究中心之一。通过不断提升设施性能、提高设施开放运行水平,仅2019年度中心就完成有效机时11649小时,是国外同类设施的1.5倍,大幅提升了我国在强磁场领域的前沿科学研究能力。截至目前,已为北大、清华、哈佛、剑桥等93家科研机构提供科学研究服务1157项,在《自然》(Nature)、《科学》(Science)等期刊发表论文835篇,包括北京大学谢心澄院士团队在量子领域发现了近90年来的第三种规律的新型量子振荡现象、清华大学薛其坤院士团队发现了具有最高临界电流密度的二维超导体等,有力支撑了我国物理、化学、材料等多个基础前沿学科的发展,形成了汇聚顶级科研团队的“强磁场”,不断产出高水平原创科研成果。
相关论文链接:
https://advances.sciencemag.org/content/6/17/eaaz3522
https://onlinelibrary.wiley.com/doi/10.1002/adfm.201909645
https://www.nature.com/articles/s41928-019-0364-5
https://pubs.acs.org/doi/abs/10.1021/acs.nanolett.9b04121
https://journals.aps.org/prl/abstract/10.1103/PhysRevLett.124.105901