新闻网讯(通讯员 汪夏夏)近日,由我校学术委员会主办的“2021年度华中科技大学重大学术进展”评选活动入选成果揭晓。该活动自2021年5月启动,遵循公开、公平、公正以及宁缺勿滥原则,立足于宣传我校具有原创性、引领性的学术成果。
入选成果通过各院系学术委员会或校学术委员会委员两个渠道推荐,先后经过校学术委员会各学科分委员会遴选和校学术委员会全体委员通讯评议。校学术委员会主任会议结合分委员会和全体委员评议结果,讨论产生提名候选成果。提名候选成果通过答辩,由校学术委员会全体会议投票产生十项入选成果。
此次入选的十项成果涉及我校人文社科、理科、工科、医科各大学科,活动旨在普及前沿科学知识、弘扬科学精神、激发创新活力、推进学校“双一流”建设。
附:2021年度华中科技大学重大学术进展简介
《国家治理参考》(抗击新冠肺炎专辑第1-125期)
主要完成人:欧阳康等
新冠肺炎疫情发生后,国家治理研究院以“智”抗“疫”,根据疫情进展和抗击疫情不同阶段的需要,先后编印了125期《国家治理参考》(抗击新冠肺炎专辑),为疫情防控做出巨大贡献。团队围绕新冠肺炎疫情,较早提出助力新冠肺炎阻击战的有效措施,分析疫情引发的各类社会风险及其应对建议,研究疫情对经济社会的影响及复工复产建议,关注疫情防控中的国际合作与国际援助及我国对策建议,帮扶重点人群和提供心理援助,反思疫情防控促进公共卫生治理现代化。

从2020年1月到2021年6月,先后撰写和刊发了125期《国家治理参考》
(抗击新冠肺炎专辑)共计有110余人参与研究和撰写
G蛋白偶联受体二聚体结合G蛋白的新机制
主要完成人:刘剑峰、许婵娟、张辟
G蛋白偶联受体(GPCR)是重要的药物靶点。刘剑峰教授团队揭示了GPCR二聚体独特的G蛋白结合模式和非对称激活机制,打破了GPCR研究领域里一段时间以来已经广为认可的GPCR与G蛋白结合范式。同时,还发现了GPCR参与食物气味感知神经系统调节饮食限制延寿过程的新机制,为抗衰老研究及药物开发开拓了新的方向。

G蛋白偶联受体二聚体的激活新机制及GPCR信号调控寿命的新机制
多量子关联辐射理论研究
主要完成人:吕新友、宾倩、吴颖
量子辐射的研究对认识微观世界以及量子信息科学的发展具有重要意义。该项目拓展普通辐射理论至多量子领域,提出了基于斯托克斯过程的光控多声子关联辐射以及宇称对称性保护的多光子关联辐射理论,并预言了纯度接近100%的两量子关联辐射。其拓展量子辐射和量子关联理论,为量子精密测量提供新资源,启发新型多量子技术的研发。

实现高纯度多量子关联辐射的理论机制
磁约束聚变等离子体逃逸电子抑制技术
主要完成人:陈忠勇、严伟、潘垣
目前横亘在聚变能研发面前的首要科技难题是抑制等离子体破裂期间的逃逸电子。逃逸电子会造成磁约束聚变装置第一壁材料的熔化甚至损毁装置。团队发展共振磁扰动技术实现了逃逸电子100%完全抑制以及逃逸电流快速耗散的级联保护。J-TEXT装置与美国DIII-D,韩国KSTAR,欧盟JET在2020年被ITER国际顾问委员会列为散裂弹丸破裂缓解的四大装置。

J-TEXT(中国)与DⅢ-D(美国)、JET(欧洲)、KSTAR(韩国)共同被
ITER国际科技顾问委员会选定为四大SPI破裂缓解研究装置
燃煤PM2.5生成调控技术
主要完成人:于敦喜、刘小伟、陈晟
大气PM2.5污染严重危害生态环境及人类健康,燃煤电站是重要的PM2.5排放源。团队发明一种基于高效吸附剂的燃煤PM2.5生成调控技术,通过燃烧中抑制PM2.5的生成,从“源头”实现其深度减排,是对传统燃烧后物理除尘技术的原创性突破。技术还具有协同脱除其它污染物和缓解锅炉结渣沾污的作用,受国家重点研发计划项目支持,首次在全球最大规模燃煤机组实现成功应用,具有重要推广应用价值。

燃煤PM2.5生成调控技术开发及应用
新一代再生医学材料发现与多组织再生
主要完成人:张胜民、王江林、杜莹莹
张胜民教授团队在国际上原创提出并命名了一类新的生物能量活性材料(Bioenergetic-active Materials, BAM),拥有中国和美国完全自主知识产权授权,展示了生物材料与再生医学新的地平线。其重大创新和突破之处在于,新材料降解产物可利用缺损部位细胞作为“生物反应器”in situ产生ATP,在无需任何生长因子的条件下加速骨组织再生,具有重要临床转化前景。

张胜民教授团队在国际上原创性提出并命名了一类新的生物能量活性材料,拥有中国和美国完全自主知识产权授权,展示了生物材料与再生医学新的地平线。
高通量计算生物光学显微镜
主要完成人:费鹏、朱丹、高尚邦
光学显微镜在生命与健康研究中广泛使用,关键诉求是实现快速且高分辨的观测。团队通过物理、计算机、生物医学的多学科交叉,发展了计算高通量光学成像新技术,从单细胞到全器官水平大幅提升目前光学显微镜的时空分辨率,实现快且精准的高通量生物医学观测,实质性推动生命与健康研究的创新发展。

深度学习光场显微镜实现对心跳、血流、神经活动等瞬发生物学过程的
四维高时空分辨率观测
心血管疾病的免疫发病机制与治疗策略
主要完成人:程翔、廖玉华、周子华
中国心血管疾病患病人数和死亡率持续上升,已成为我国首要疾病死亡原因。团队致力于心血管疾病免疫发病机制与治疗策略的探索:阐述缺血性衰竭心脏局部组织特异性调节性T细胞反应,揭示缺血性衰竭心脏局部T细胞的促炎表型和TCR特征,有望指导心脏重构的免疫精准干预;引领原发性高血压和肺动脉高压的治疗性疫苗研究,有望改变此类疾病的治疗模式。

阐明衰竭心脏中组织特异性T细胞反应及研发治疗性降压疫苗
重症新冠肺炎临床特征、预警与治疗研究
主要完成人:尚游、袁世荧、徐继前
重症新冠肺炎严重危及人类生命健康,但疫情之初,人类对其缺乏认识。团队在进行临床救治的同时,对其进行了科学研究。在全球最早揭示重症COVID-19的临床特征,及器官损伤规律和独立危险因素;阐明重症新冠肺炎肺部免疫细胞功能与器官功能衰竭的关系。揭示血浆代谢组、脂质组与蛋白组学的演变规律与调节特点,挖掘出预警重症发生、转归与预后的新型标志物;建立了SARS-CoV-2所致ARDS分层呼吸治疗方案。系列研究对重症新冠肺炎救治效率提高及助力全球抗疫发挥重大作用。

重症新冠肺炎临床特征、致病机制、预警新分子与个体化治疗方案
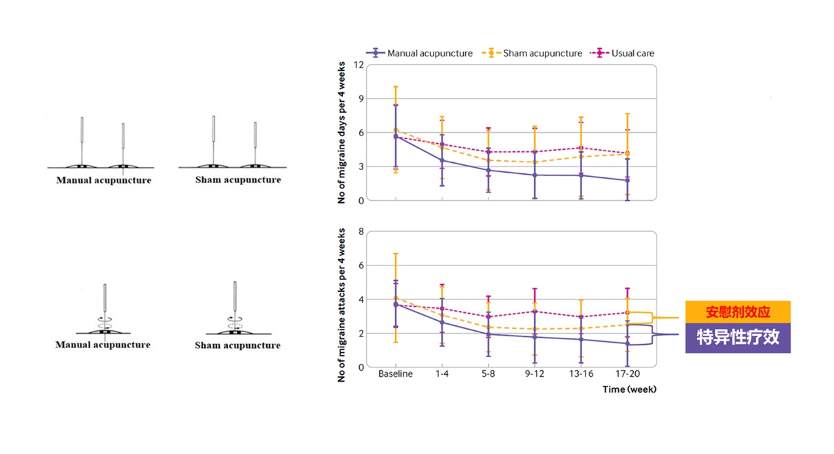
针刺预防发作性无先兆偏头痛的特异性疗效
主要完成人:王伟、徐沙贝、余玲玲
偏头痛是全球第二大致残性疾病,需要寻求疗效可靠的非药物疗法。针灸的特异性疗效一直未得到国际学界完全认可,其疗效被认为是安慰剂效应。团队采用非穿透性安慰针具、招募无针灸经历受试者、标准化操作仪式、评价盲法成功性等一系列方法学改进,通过多中心随机对照试验证实针刺预防偏头痛的特异性疗效,为药物疗效欠佳或不能耐受药物的患者提供了新的选择。

多中心随机对照试验证实:与安慰针刺对照组比较,针刺预防偏头痛起效
更迅速,疗效更显著,持续更长久